<(杠杆炒股)>套期保值比率如何影响投资组合?解析国债期货的凸性与GARCH模型应用(杠杆炒股)>
套期保值的比率决定了投资组合整体风险暴露的程度,净头寸影响着组合波动和收益表现。由于国债期货和现货的价格存在凸性,当收益率变动时,期货和现货的价格并不是线性变化,套期保值难免会出现期货现货价格变动不匹配的情况,从而对套保效果造成影响。在之前对于商品和股指的研究中,我们已经开始采用统计模型的方法计算套期保值比率,以期来平滑投资组合曲线。由于国债期货对应的标的“名义标准券”是指票面利率标准化、具有固定期限的虚拟券,因此结合传统的计算方法并不适配,我们设想在传统债券价值换算的方法,即基点价值法的基础上再叠加统计模型进行计算。
由于期现的联动反映一直是在不断变化的,静态套期保值的结果包含有偏估计,动态套期保值也逐渐成为研究的重点。理论上自回归条件异方差模型(ARCH)解决了数据异方差问题对于套期保值比率的影响,而广义自回归条件异方差模型(GARCH)又在此基础上有所改进。国内学者基于十年期国债期货合约的历史交易数据,构建波动率相关模型,通过VaR测度的相关方法,发现国债期货及现货市场存在一定的正向相关性,而且国债期货市场内存在一定的极端风险,风险数值能较好地通过GARCH模型进行体现。通过基于信息份额模型和向量自回归VAR模型的格兰杰检验研究了国债现货、国债期货和利率互换三个市场之间的价格发现机制,发现从整体来看利率互换相对于国债期货和国债现货都具有信息优势,而国债期货相对于国债现货具有信息优势,国债期货的价格发现能力相比于另外两个市场随时间显著增强。因此上述方法对于国债期货套保均有一定实践基础。
本文以2年期、5年期和10年期国债期货为标的进行实证分析,30年期国债期货由于上市时间较短且数据较少,没有被纳入测算。首先通过基点价值方法对期现序列进行配平,随后通过OLS、VAR、ECM和GARCH模型计算出套保比例的修正系数;根据现货市场、期货市场以及套保比例,评估净值曲线,同时选取多个指标评估净值曲线的表现,进而找到不同品种的最优模型。
从实证检验来看,OLS和GARCH方法整体相对VAR和ECM模型更好,其中对于五年期合约两者差距不大,对于二年期合约GARCH模型更好,而对于十年期合约OLS则相对更优。由于套保比率原本就是在风险敞口方面的调整,对于整体投资组合收益率的改变并不显著,但是对于波动率的降低,尤其是移仓造成的亏损缩减仍然有一定作用。
统计模型-套保比率
国债期货基点价值方法的主要假设为期货收益率变动与现货收益率变动一致。由于交割券与现券的期限结构可能不同,收益率曲线的非平行移动会带来两者的收益率变动不同步,进而导致套保不完全。对于期限错配带来的系统性误差,可以通过系数调整来修正套保比例。通过统计模型分析现券与CTD券基点价值的历史相关性,在基点价值法得到的套保比例上乘以该系数β。
本文通过OLS、VAR、ECM和GARCH统计模型得到β系数,来修正套保比例进行比较。
1.1 OLS回归模型
OLS是最为基础的统计回归模型,其前提假设条件为误差序列同方差且无相关性,即:
当上述条件不满足时,模型回归的结果是有偏的。
现券基点价值和CTD券基点价值(DVBP)变化率的OLS回归模型如下式所示:
其中,Rs,t为t时间现券的DVBP变化,Rf,t为t时间CTD券的DVBP变化。
在该模型中,回归系数β即为β系数。
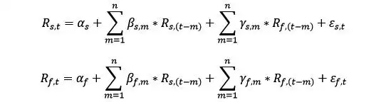
1.2 VAR模型
对于经济变量来说,序列往往存在自相关性。向量自回归模型的提出解决了序列自相关问题。现券和CTD券DVBP变化的VAR模型如下式所示:

其中,εs,t和εf,t分别为现券和CTD券DVBP变化率回归的误差序列,各项均服从正态分布;n为自回归滞后阶数。在VAR模型中,β系数为:
根据VAR模型回归结果的AIC值变化,我们设置最大滞后阶数为3。
1.3 ECM模型

对于非平稳的序列来说,OLS和VAR模型不再适用。为解释存在协整关系的序列,即变量之间存在长期均衡的关系,我们在VAR模型的基础上引入误差修正项,建立ECM模型:
其中:
St-1为现券在t-1时刻的DVBP,Ft-1为CTD券在t-1时刻的DVBP。
该模型得到的β系数为:
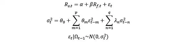
1.4 GARCH模型
针对残差项,上述三个模型均假设残差项为同方差,但大量的实证研究表明,金融时间序列存在残差项异方差的问题,因此GARCH模型被提出。具体模型如下:

最优β系数为:
2.套期保值实证
我们选取2019年3月至2024年3月的历史数据作为研究对象,在移仓日选取成交最活跃的现券作为现券持仓,以下一合约对应的CTD券作为参照,用移仓日前120天的基点价值数据来确定β系数。在选取合约到期前5天作为国债期货移仓日,并且期货合约杠杆为1的条件下,所选取的国债期货在OLS、VAR、ECM和GARCH模型下得到的β系数如下图所示。


接下来,我们通过以下五个指标来评估套保组合的净值表现:移仓单日最大亏损、移仓累计收益、年化收益率、最大回撤率和夏普率。对于标的二年期、五年期和十年期国债期货,在四个模型下的套保组合的净值表现分别与基准策略,即基点价值方法进行比较。


通过对β系数计算结果比较,移仓时CTD券的不同会带来β系数间较为明显的变化,并且在多数情况下与基准情形中系数为1的差异较大。由于多数情形下,市场对于远期基本面和宏观政策强度不确定性更大,需要更高的隐含回报率进行补偿,因而通常国债远月合约相较近月贴水。偏小的β系数会减小移仓时的损失,因此对套保系数进行调整后的组合收益表现均优于基准情形。由于存在交割券的流动性相比活跃券较差的情况,两者之间利率变化可能脱钩,从而出现极低的相关性结果。
从三大国债期货合约的套保效果来看套期保值比率如何影响投资组合?解析国债期货的凸性与GARCH模型应用,OLS和GARCH方法整体相对VAR和ECM模型更好,其中对于五年期合约两者差距不大,对于二年期合约GARCH模型更好国库券期货套期保值,而对于十年期合约OLS则相对更优。由于套保比率原本就是在风险敞口方面的调整,对于整体投资组合收益率的改变并不显著,但是对于波动率的降低,尤其是移仓造成的亏损缩减仍然有一定作用。


